Sweep of History Games Magazine #1, Winter (December) 2005. Published and edited by Dr. Lewis Pulsipher, sweep@pulsiphergames.com. This approximately quarterly electronic magazine is distributed free via http://www.pulsipher.net/sweepofhistory/index.htm, and via other outlets. The purpose of the magazine is to entertain and educate those interested in games related to Britannia ("Britannia-like games"), and other games that cover a large geographical area and centuries of time ("sweep of history games"). Articles are copyrighted by the individual authors. Game titles are trademarks of their respective publishers. As this is a free magazine, contributors earn only my thanks and the thanks of those who read their articles. This magazine is about games, but we will use historical articles that are related to the games we cover.

 

This copyrighted magazine may be freely distributed (without alteration) by any not-for-profit mechanism. If you are in doubt, write to the editor/publisher. The “home” format is PDF (saved from WordPerfect); it is also available as unformatted HTML (again saved from WP).


Introduction


This magazine exists to help support and popularize a genre of board (and other non-video) games that has existed for decades, and which is most well-known for games such as Britannia, History of the World, and Vinci. In fact, it can be difficult to draw a separating line between Britannia-like games (such as Hispania, Maharajah, and Rus) and other games that depict a long period of history but do not use Brit-like rules.


The idea originated on the Eurobrit Yahoo Group. I don't now recall who suggested it. Originally we had a volunteer editor from Germany, but he took on a real-world magazine editing job and did not have time to pursue the matter, so I stepped in. I have an obvious interest in the purpose of the magazine, as I designed Britannia, am about to have a second, revised, edition published, and have *many* Brit-like and sweep of history games in design and development that I hope to see published in the coming years. For that reason, I'd prefer someone else to be editor, but until



Table of Contents

1 Introduction

2 Why a Brit 1 Strategy Article?

2 Reading the Situation: How to Judge Who’s Winning in Britannia by David Yoon

11 Survey Results

15 The rationale behind the use of forts in Britannia and Britannia Second Edition

16 Britannia-like games currently available

18 A proposal for a Brit variant

19 Inexperienced Players in Brit 1

23 Listing of Britannia-like Games

25 Sweep of History games list

26 Probabilities for Britannia Battles by Torben Mogensen

38 The End

that happens, I'll take care of it.


When I set out to put this together, I had no idea I'd end up with 14,000 words and 38 pages, mostly thanks to Torben and David. I hope future issues can be as substantial.


There is a feedback survey for this issue at


http://surveymonkey.com/s.asp?u=815091553200


This will accomplish two things. First, it will help me know what works and what doesn't work. Second, it will help me gauge how many people actually read this magazine. (Surveymonkey maxes out at 100 responses, but I believe I can clear it and run it over and over.) Given that most people don't respond to surveys, if I can get a couple hundred replies, or even a hundred, I'd think that distribution was quite widespread.


Why a Brit 1 strategy article?


Although Brit 1 is long out of print, there is a large number of copies in circulation. We will run strategy articles about Brit 1 (when we can get them), for the following reasons:


First, I think it will be an interesting contrast with Brit 2 (where strategy is somewhat different). Second, the entire print run of Brit 2 will be much less than the number of people who own AH Brit or Gibsons Brit, so I think there will still be people playing the old rules. Third, if the logic behind the strategy is discussed, newbies will be able to apply that logic to Brit 2 and come up with their own strategies (which may be more interesting than if they just do what a Brit 2 strategy article tells them to do). So we begin with an article about Brit 1 strategy.



Reading the Situation: How to Judge Who’s Winning in Britannia

David Yoon, November '05


Britannia is a game based on scoring points, so strategy might seem to be a simple matter of trying to score as many points as possible. It’s not that simple, though, because of the multi-player dynamic: victory depends not simply on scoring a lot of points but on scoring more points than the other players. Sometimes it is best to sacrifice a few points in order to prevent another player from scoring many.


Making such decisions depends, above all, on being able to predict which players, based on the current situation, have the best chance of winning. It is, obviously, counterproductive to sacrifice points to reduce the score of a player who has no chance of winning anyway. But simply looking at the current point totals is very misleading in this regard, because each of the four players has one or two nations that score a great many points at a particular stage of the game, and the timing differs. Therefore, a player can have the most points at a particular moment, and still be losing. This article provides some guidance for inexperienced Britannia players in making these decisions, by presenting some general guidelines for judging who is doing better or worse than average.


Before getting into the details, I should explain a few things about the assumptions this article is based on. First of all, this article is based on the Avalon Hill edition of the game. The Gibsons (British) rules differ in a number of small but significant ways that affect both strategy and expected point scoring, and the forthcoming second edition from Fantasy Flight Games will differ considerably more. Note also that the colors of the playing pieces differ: the Green player referred to here should be read as “Black” if using the Gibsons version of the game. Also, I have assumed a standard four-player game.


Second, I have assumed that the reader has a basic familiarity with the game. To get much out of this article it is necessary to have a basic grasp of the rules and some knowledge of the victory point cards. I have, however, attempted to explain things in enough detail to be comprehensible to someone who has only played the game a couple of times.


Third, there are various styles of play in Britannia. In a typical game of Britannia, the total final score for all players is generally a little over 400, meaning that the average for an individual player is slightly over 100. The point targets in this article are based on the assumption of a fairly close, low-scoring style of play, which happens most frequently when the players all know, in a general sort of way, what to expect of each other. In this situation the winner’s score is often between 110 and 120 points. In other situations, when players are not familiar with each others’ strategies and personalities, the game may be much more volatile, and consequently harder to predict, with more extreme variations in the scores.


Fourth, except in extreme situations, I consider position to be a better predictor of victory than score, up until the last few turns of the game (with Purple and Green, in particular, the score before turn 13 or 14 does not seem to predict at all whether the final total will turn out around 100 points or 120). That said, scores are much easier to compare objectively; assessing position—the number of armies and where they are placed—is difficult to do and even more difficult to explain clearly. So although this article relies heavily on simple measures such as score and number of armies, this is only a simplified substitute for a more complete assessment of the situation on the board.


I should also make clear what the guidelines described here mean. These are not “best possible” goals; they are the sort of “average” scores and armies that suggest a player is on track to an average final score of around 100 to 106 points —generally corresponding to a second-place or strong third-place finish, but also within reach of victory if the rest of the game goes well. If a player is doing much worse than the guideline, that player is not a strong contender for victory; on the other hand, if a player is doing much better, that player can be considered a strong threat to win the game.


These “average” scores are based on my experience of the game, and other people may have different opinions. In particular, different long-term strategies will yield different point-scoring rates. For example, I have assumed a “northern” strategy for Purple, in which the Romans and Romano-British sacrifice points in order to help establish the Scots. If Purple tries to maximize Roman and Romano-British points, then Purple may need a higher score on turns 5 and 9 compared to what I have suggested here, since the Scots may score fewer points later in the game, while Blue may not need as high a score. Similarly, I have assumed that the Jutes are better used as Saxon-killing raiders rather than attempting to score points with them.


Since both points scored and numbers of armies or territories are mentioned, there will be many occasions when a player is within the range for one criterion but not the other. Naturally, if one criterion is better than expected, the suggested range for the other should be adjusted down, and if one criterion is worse than expected, the suggested range for the other will need to be higher.


End of Turn 5


The first five turns of the game are dominated, of course, by the Romans. In a normal game they will have wiped out the Belgae, forced the Brigantes into submission, and damaged the Picts. But other peoples appearing around the coasts will then have raided many Roman forts. The resulting point totals may vary widely, depending on luck: the Belgae, for example, without any variation in the moves made, might easily have scored as many as 12 points or as few as 2.


By the end of turn 5, as much as half of the Purple player’s final point total may have been scored already, while the other players have barely begun. This may give inexperienced players the misleading impression that Purple is winning; in fact, if Purple is not far ahead at this time then Purple will probably finish in fourth place. Most of the game’s scoring is still potential; thus, although expected point totals are mentioned here, the army sizes mentioned are much more important for predicting future scores.


Purple: 46–54 points and no more than 6 Picts

It is likely that the only points for Purple so far will have been scored by the Romans. They can normally expect to score somewhere between 44 and 58 points; paradoxically, a Roman score over 56 is no better than a score under 48. Obviously it is not the Roman point total that is important so much as the likelihood of future points from the Scots.


Green: 13–18 points and at least 10 Welsh

The Welsh never score a huge number of points at once, but they are ultimately the largest component of a winning Green score. It is absolutely essential that the Welsh be in good shape when the Romans leave, in preparation for conflict with the Irish and eventually the Saxons. If the Romans have forced the Welsh to submit, the score may be lower, but as long as there are at least 10 Welsh armies, Green still has some hope: fewer than that, however, and Red’s chances of victory are greatly increased, other things being equal (yes, that’s not a mistake—if Purple makes the Welsh submit, Red tends to win).


Red: 8–15 points and at least 4 Saxons and 6 armies of Brigantes and/or Irish

Red rarely scores many points during the first five turns. The Brigantes may or may not kill a Roman army or two before submitting; that is not as important as whether they still have enough pieces to survive the Angle onslaught for a while. The Irish and the Saxons score some points by raiding, but if they have suffered too many casualties doing so, their future impact on the game may be crippled. The Saxons are the main point-scoring nation for Red, so the most important criterion is how likely it is that the Saxons will establish their power, depending in part on whether the Brigantes and Irish are in a position to assist. A minor secondary consideration is how many Jutes remain at sea: if there are still four Jute raiders at sea, the Saxons can expect a steady hemorrhage of casualties for much of the game, so they may need an extra army at this stage. [Editor’s note: in Brit 1 raiders can stay at sea indefinitely, which is not the case in Brit 2.]


Blue: 12–26 points and at least 5 Picts

The most variable component here is the Belgae score. Either they roll sixes or they don’t, and since they are normally wiped out by turn 2, that is usually the only way they can score points. The Angles, on the other hand, are better placed than the Jutes and Saxons to profit from raiding, because they have the best access to forts that give the Romans few points (and thus are less likely to be protected by an army), and because they can afford to take more casualties in advance of their major invasion (since the Angles get 6 raiders plus a total of 12 reinforcements during the next three turns, but are only allowed 15 armies).

Oddly, considering that historically the Picts disappeared as a distinct people during the period that corresponds to the middle turns of the game, their survival to the end of the game is generally essential for a Blue victory, largely because they can score so many more points on turn 16 than they can earlier. Submission to the Romans is sometimes necessary to avoid excessive casualties, but because they will usually face 7 Scots on turn 7, it is best if this can be arranged in such a way that more than four armies survive (since the Picts can only submit when reduced to two areas, this requires a retreat before submission and movement into an adjacent vacant area afterward).


End of Turn 9


Turns 6 to 9 see a major change in the “color” of the board. Major invasions by the Saxons, Angles, and Scots can determine the rest of the game, since all three are important point-scoring peoples for their respective players—especially the Saxons, who dominate a winning score for their player to a greater degree than any other nation in the game. The Angles, on the other hand, are confronted by the most complex choices: they may need to fight the Brigantes, the Saxons, or even the Scots (in order to relieve pressure on the Picts), in addition to the issue of whether to give the Welsh free passage for their excursion to York.


By turn 9, the results of these invasions should have become clear. The Angles and Saxons will have occupied most of England; one important thing to note is whether Red or Blue is getting the Bretwalda points. In general Red has a strong advantage in this, unless either the Brigantes have been forced to submit or the Saxons have taken heavy casualties. The other big variable is how well the Scots have established themselves. If the Picts have been wiped out, the outlook is grim for Blue, whereas if the Scots are outnumbered by the Picts, Purple will have difficulty achieving a high score.


Purple: 58–67 points and at least 4 Scots

Too many nations get points for killing Romano-British to expect them to survive for long after Arthur and the cavalry are gone, and they will rarely score more than 2 to 4 points before they are wiped out. The Scots, on the other hand, are the second most important point-scoring nation for Purple, after the Romans. The major invasion on turn 7 is the one effective chance the Scots have to try to make Pictland into Scotland. Fergus’ +1 to the die roll and ability to move through mountains must be used to best advantage. If the Romans and Romano-British have inflicted enough casualties on the Picts, the Scots should have a chance to occupy three or four areas by the end of turn 7.


Green: 33–37 points and at least 9 Welsh

Whether the Welsh got the 6 points for visiting York is as good a measure as any of how well Green is doing—not just because 6 points are often enough to make the difference in the game, but because if the Welsh can’t get them it is usually because they are taking too severe a beating from Red. Maintaining a steady attrition against the Saxons by the use of Jute raiders can also be very helpful, both for relieving pressure on the Welsh and to keep the Saxons below maximum population in preparation for the Danes.


Red: 35–44 points and at least 14 Saxons and 2 armies of unsubmitted Brigantes and/or Irish (including raiders)

The Saxons are almost always powerful at this stage in the game, but for Red to win, they must be dominant. It is difficult for Red to win with less than 70 points total for the Saxons, and difficult even to avoid fourth place with less than 60 points. They mainly score points between turns 4 and 13, so by turn 9 one can judge how well they are doing. If they have taken too many casualties, they may have difficulty scoring enough points before the Danes and Normans decimate them. At the same time, the Irish should be scoring raider points—and possibly even some points for controlling territory if they are lucky—and the Brigantes can be useful either by scoring points or by keeping the Angles busy enough that the Saxons can prosper.


Blue: 36–42 points and at least 3 Pict armies controlling at least 2 areas and no more than 16 unsubmitted Red pieces in England or 43–50 points and at least 2 Pict armies and no more than 17 unsubmitted Red pieces in England

Blue is the most difficult to predict overall; scores over quite a wide range in the middle part of the game can end up the same at the end. Although the Angles should be the largest point-scoring nation for Blue, the points scored on the last two turns by the Normans and Picts can also be a major component of the final Blue score. As a result, Blue might score only 40 more points after turn 9—or might score 90 more. As important as they are for scoring points, the Angles are just as important for keeping Red from doing too well, partly simply so that Red doesn’t run away with the game, but also so that the Norman invasion isn’t stopped at the beaches by a solid Saxon shieldwall.



End of Turn 11


Turn 11 marks the end of the period dominated by the Angles and Saxons, with the arrival of the Vikings. The Danes are essential for Green, and the Norsemen are often the second-highest scorers for Red, albeit a very distant second. The situation at the end of turn 11 is important for predicting how well the various Viking invasions will go.


Purple: 61–71 points and at least 4 Scots and either 12 or more Angles or 15 or more Saxons

The complexity of a multi-player game with multiple nations for each player may be apparent from this guideline. Purple wants the Danes to clear a lot of Angle and Saxon armies out of the middle of England, but also wants the Danes to take a lot of casualties, so they will not be able to fight off the Dubliners and Norwegians effectively. This depends on either the Angles or the Saxons being in a position to fight back, but preferably not both so that the Danes are not simply destroyed at once. The Scots, of course, can’t affect the Danish invasion much apart from making sure to be out of its path. So for turns 11 and 12 Purple is mainly just a very interested spectator with little influence on events.


Green: 47–52 points, at least 8 Welsh, at least 5 Danes, and less than 12 Angles

For most of the game, Green accumulates points slowly and quietly. Turn 12 is different: the Danish major invasion, if it goes well, can sweep through much of England for 20 to 26 points. How well it goes, though, depends a great deal on a few factors. The most important is how strong the opposition is: if the Angles and Saxons have been at peace, they may both have strong armies that cannot easily be swept aside, and may defend their territories strongly enough that the Danes suffer heavy casualties for a moderate score. Another is the Danish strength: if the Danes have lost too many of their turn 11 raiders, the invasion will lack force. However, if the Angles are not close to maximum strength, they may instead try to move out of the way, leaving many areas open in the hope that they can survive and regroup after the Danish invasion, in which case the Danes can score many points easily as they move through vacant areas. In that situation the Green player should think about how well the Danes end up positioned to survive until turn 14. If the Jutes and Welsh have the armies, they can assist the Danes considerably by weakening their opponents (while staying out of areas that the Danes want to score points for).


Red: 57–67 points and either 6 Norsemen or Norsemen controlling Hebrides and/or Orkneys

The biggest question is whether the Norsemen have already landed or whether they have chosen to wait for assistance from the raiders. In the former case, there is more total point-scoring potential, but more luck is needed as well. At the same time, the Saxons should be the dominant power in England by this time. If they are not, they may suffer too much damage from the Danish onslaughts in turns 12 and 14 to score many more points.


Blue: 50–65 points and at least 2 Picts and 9 Angles

The biggest variable for Blue over the next few turns is the effect of the Danes on both the Saxons and the Angles. Survival of the Angles is obviously of value, both for the points and for the ability to intervene where needed during the last turns. Perhaps less obvious to the inexperienced player is that if the Saxons are too strong on turn 15, they may be able to prevent the Normans from scoring many points. However, the areas that the Danes score the most points for are mostly in northern England, so there is little hope that the Danes will concentrate their efforts on the Saxons. The Angles do have the option, during their move on turn 11, of choosing where they will fight the Danes, based on their current strength and the positions available.


End of Turn 14


The preceding few turns have seen the incursions of the Norsemen, Danes, Dubliners, and then the Danes again, with possible counterattacks by the Saxons and others. Turn 15 will see the arrival of the Norwegians and the Normans, completing the game’s roster. By this time in the game, Red and Green have scored most of their points, while Purple and especially Blue still have large scoring opportunities. It should now be possible to calculate roughly what the final score for each player should be, given certain assumptions about how well the major invasions will go. Strategy should accordingly be based on calculation of each opponent’s likely final score.


Purple: 72–82 points, at least 4 Dubliners or 5 Scots, and less than 8 Danes

The Dubliners get points for controlling some of the areas that the Norwegians move through. Assuming that the Danes can be kept out of them, a complex series of maneuvers is normally used to ensure that the Dubliners are moved out of the way on turn 15 but to places where they can move back in on turn 16 (either in the Pennines or else Lindsey and Galloway).


The Norwegians are constrained by being able to land only from the North Sea, and if the Dubliners are in the Pennines the options are even more limited. Thus, if the Danes are strong they can block the Norwegians well enough to limit their turn 15 score considerably, though potentially at the cost of sacrificing much of their army, especially if they are not strong enough to have secure areas to retreat to.


Green: 88–94 points and at least 8 Welsh and 4 Danes

Unless the Danes are strong enough to block the Norwegian invasion, Green will score only about 8 to 15 points at the end of the game. Doing so depends mainly on the Welsh being strong enough to hold most or all of Wales, plus maybe an area or two along the borders, and the Danes being able to hold a few out-of-the-way

 Contributions

As I have an obvious vested interest in our topic, as designer of Britannia, I sincerely hope I will not have to write the majority of this magazine. Some items will appear in every issue, e.g. the list of Brit-like games currently available, and letters of comment on previous issues. We welcome contributions of many types (in no particular order) related to "Sweep of History" games:

         Designers notes/articles (which of course means you've got to be the designer...)

         Strategy notes and articles

         Variant rules

         Reviews

         "First looks" at games (when you haven't played enough to review it--you're mostly describing it)

         Accounts of tournaments at conventions

         Play aids that improve the flow of a game

         Historical pieces that illuminate some aspect of a game that we cover

         Or anything else that you think will interest fans of these games.

We are happy to reprint material that has appeared elsewhere (assuming you have retained the rights). I am not much interested in doing a lot of rearranging/editing of material; and I cannot, of course, promise that everything I receive will be deemed suitable.

 

Finally: "better late than never".

areas when the dust settles from the major invasions.


Red: 88–96 points and at least 11 Saxons

There will normally be some Norsemen still able to score points, and perhaps even some remaining Brigantes or Saxons, but most of Red’s remaining point-scoring potential is with the Saxons. Since the Saxons are normally directly in the path of the Norman invasion, and may be targeted to some degree by the Norwegians as well, the Saxons are most likely to be able to score points at the end of the game if they are strong enough to block the Normans, or at least exact enough casualties that the Normans do not achieve much. The number of armies needed to hinder the Normans depends on the length of coastline the Saxons possess, but usually at least 12 or 13 armies are necessary at the end of Saxon turn 15.


Blue: 58–70 points, less than 12 Saxons, and at least 3 Picts or 4 Angles

Having the two peoples that move last in each game turn is very useful at the end of the game; particularly on the last turn, the Angles and Normans can make their moves knowing that nobody but the dice can interfere. The most important question is whether the Normans can make a successful invasion: if so, they can often score more than 30 points, while an unsuccessful invasion may score less than 10. This will mainly be determined by the strength of the defending forces, likely to be mostly Saxons and probably some Danes or other Green armies. At the same time, the Picts will want to make the best use of their one opportunity to get a large number of points for controlling areas, if the opposition (Scots, Norsemen, possibly Caledonians and Brigantes) is not too strong.


Appendix: The Evidence


This article is based partly on general experience of playing the game against competent opponents, many of them better at the game than myself, and also partly on a sample of score sheets representing a number of games in which I participated. A total of twelve games were used, but to reduce bias, the main reliance was placed on eight of them, representing two games won by each color. Since I have not played the game by e-mail, I have records only of the scores, not of the complete games including numbers of armies and which areas they controlled.


The sample is small, and as mentioned before, it is based on a limited range of strategic choices. While I think the guidelines presented here are generally reasonable, a larger and more complete body of evidence might provide a more accurate and comprehensive, if not necessarily clearer, basis for prediction.


(Editor's Note: Supporting table is below. David Yoon is a fixture at the annual World Boardgaming Championships, formerly in Baltimore, now in Lancaster, PA. The best players there can look at the board and score and predict quite well what a color’s score will be at the end of the game. David is the first one I could persuade to reveal some of the secrets! Now you don't have to think this way to play the game, but if you're playing with the "sharks" who do so well at the WBC, you'll be at a disadvantage if you don't think this way.)





Average Scores in the 12 Game Sample

Color

Final Score

Turn 5

Turn 9

Turn 11

Turn 14

Purple

>109 (n=2)

53.3 +/- 1.1

65.3 +/- 0.4

71.8 +/- 1.1

85.5 +/- 2.8

 

98-109 (n=6)

51.1 +/- 3.8

61.1 +/- 4.7

66.6 +/- 4.6

77.8 +/- 4.4

 

<98 (n=4)

52.3 +/- 5.3

59.8 +/- 4.0

65.3 +/- 3.1

72.4 +/- 3.6

Green

>109 (n=5)

18.7 +/- 2.8

37.4 +/- 2.2

53.2 +/- 2.0

97.8 +/- 2.7

 

98-109 (n=3)

16.3 +/- 3.5

35.7 +/- 2.3

50.7 +/- 2.1

89.5 +/- 4.8

 

<98 (n=4)

16.0 +/- 2.3

31.3 +/- 4.9

44.8 +/- 5.2

79.0 +/- 4.0

Red

>109 (n=3)

13.3 +/- 4.9

40.3 +/- 6.0

67.5 +/- 7.8

94.5 +/- 6.6

 

98-109 (n=3)

10.7 +/- 2.5

40.3 +/- 3.5

60.7 +/- 5.1

87.3 +/- 1.9

 

<98 (n=6)

11.0 +/- 8.3

35.9 +/- 9.2

56.3 +/- 8.9

70.7 +/- 8.0

Blue

>109 (n=3)

20.7 +/- 5.5

44.3 +/- 4.5

61.7 +/- 7.0

72.7 +/- 8.1

 

98-109 (n=5)

20.4 +/- 7.1

41.2 +/- 7.0

57.8 +/- 6.7

64.6 +/- 7.9

 

<98 (n=4)

22.5 +/- 4.4

43.3 +/- 2.2

59.8 +/- 5.5

64.0 +/- 7.8

 

*****

 

Survey Results

Lew Pulsipher, 25 Nov 05

 

Recently I conducted a Britannia-related poll through a free Internet polling service (SurveyMonkey). There were two questions, the first about subjects for Brit-like games, the second about the role of chance in the Brit combat system. Here are the results so far (the poll is open at http://surveymonkey.com/s.asp?u=504421468301), and my comments.

 


My thanks to everyone who took the time to complete the survey. There will be more!

 

1. Which of the following areas would strongly attract you for a new Brit-like game (more than one answer allowed, but please don't mark all of them...)?

 

 Response Percent     Response Total

 Africa as a whole

26.2% 11

 Alexander the Great's Successors

35.7% 15

 Balkans

16.7% 7

 Byzantium

19%    8

 Central Asia

26.2% 11

 China

19%    8

 Colonial North America (including pre-colonial peoples)

26.2% 11

 Colonial North America, as above, restricted to east of the Mississippi

9.5%   4

 Eurasia as a whole

21.4% 9

 Europe as a whole

31%    13

 France

11.9%  5

 Germany

16.7% 7

 Ancient Greece

31%    13

 France & Germany together

23.8% 10

 Iberia

16.7% 7

 India

26.2% 11

 Indonesia/Fillipines

7.1%   3

 Ireland

16.7% 7

 Italy

21.4% 9

 Japan

16.7% 7

 Korea


 0%      0

 Mezzo-America

14.3% 6

 Middle East

16.7% 7

 Northern Africa

7.1%   3

 Palestine

7.1%   3

 Roman Empire

42.9% 18

 Romania

2.4%   1

 Russia

4.8%   2

 Scotland

21.4% 9

 South Africa

7.1%   3

 South America

4.8%   2

 Southeast Asia

7.1%   3

 Viking Age in the West (British Isles and "Frankia")

31%    13

 Wales

21.4% 9

 None of them

 0%      0

 Other (please specify)

16.7% 7

Total Respondents   42

(skipped this question)       0

          

Lew's comments:

 

Of course, whether the topic of a game is popular has nothing to do with whether it is a good game mechanically; but people are more likely to enjoy a Brit-like game when they're interested in the history/subject.

 

"Africa as a whole" is an odd entry, because Africa is really two parts, north of the Sahara and below, and those parts rarely meet. I was very surprised at the support for it.

 

The support for Alexander's Successors was also surprising. I'd made some notes for a Diadochi game (and I may once upon a time have designed a Diadochi Diplomacy variant), but until I saw the results of this survey I really didn't think of the subject in terms of Brit. I am now well into designing a "Hellenia"(TM) game, but it will differ significantly from Brit in economics, and will also be different because there are few external invasions during the period (323-146 BC). Rome and Carthage are involved, making for a very long, narrow board from Iberia to the Indus.

 

I like the history of Byzantium (somehow it reminds me of the US), but it has a very big problem, from a Brit point of view, in that one country must dominate much of the game. I have a solution for this, but I don’t know whether I’ll ever proceed.

 

I did some work on a Central Asia game a year ago, and perhaps someday I’ll get back to it.

 

I was surprised at the lack of support for China, which has a rich history, and at least two Brit-like games extant, one published, one a prototype.

 

Colonial North America got strong support. I would think this would be a "sweep" game rather than a Brit-like game.

 

I was surprised at the interest in Ancient Greece. Perhaps this is because, although Athens is one of my favorite historical subjects, the nature of ancient Greece, 150 city-states separated by difficult terrain, doesn't lend itself to Brit-like treatment. Also, there really aren't many invasions, one of the major attributes of Brit-like games (I think–-I called it Invasions).

 

"Later" Greek history, when the Greeks formed coalitions of Leagues to help them resist the Macedonians and later large powers, might work for Brit. But something like the Peloponnesian War doesn't seem to fit.

 

A game I have not seen, Hegemonia, takes a very long view, thus increasing the importance of the few invasions that do occur. It runs from 1600 to 146 BC, thus including the early (disputed) invasions that may have ended Mycenaean civilization, the Persian invasions, the Gaulish invasion around 280 BC, and finally the Hellenistic and Roman invasions.

 

India at 11 (26.2%) was interesting; there’s no way to know how much Avalon Hill’s Maharaja has to do with this result.

 

Japan is unpromising as a location for a Brit-like game--there are virtually no invasions, and most of the time there was (at least nominally) a central government. Neither of those fit the Brit-style. In fact, to me Japan just doesn't seem to be very promising for any "sweep of history" game. But I'm sure something can be made of it by those who enjoy Japanese history (I am not one).

 

Scotland, Ireland, and Wales did not get into double digits, but I expect that someday there will be Brit-like games for at least two of those three.

 

I did have Europe as a Whole and the Viking Age in the West spotted as popular subjects, but somehow I missed out on the Roman Empire. The Europe-as-a-whole game (Dark Ages (TM)) has been in development for more than three years, in several versions, and maybe someday I'll get it right! The Viking Age game is relatively new, and the Roman Empire game is something I started after seeing the poll results (but it has a lot in common with the first part of Dark Ages(TM)).

 

Korea is the only shutout, though Romania came close (Torben!).

 

The Middle East (where Ancient Conquest is placed) got little support, though it is one of the best places for a Brit-like game in terms of lots of invaders from all around.

 

Here are the results of "Other (please specify):


 

1.        Viking Age, but encompassing the whole of known/theorized Viking range (Russia, Mediterranean basin, Vinland, etc.)

2.        note that Iberia (Hispania) already exists

3.        The area around the mediterranian sea (basically as in AH's Civilization game).

4.        Eurasia as a whole based on the indo-european expansions.

5.        si-fi conquest of mars! USA / Europa / China / Jappan / New Russia / United Affrican Space League/ etc

6.        -The Silmarillion -John Carter, Warlord of Mars -the same principles applied to protozoa

7.        I know its very cliched but many moons ago I heard a rumor somewhere that a britannia style game based on middle earth was in the pipelines with some 50 factions and 6 or 7 players, I really couldnt tell you where I found this and it was ages ago but I thought it was a good idea, but I suspect the licence would be very hard to get  

 

Lew's comments: The Rus/Varangian experience is so vastly different from the western Viking age that I do not see a way to tie them together, or to make a Brit-like Varangian game at all. (The Brit-like game Rus is about a much longer range of Russian history.) I have the basics for a non-Brit-like Varangian game, however, not so much a wargame as a merchant prince game.

 

I occasionally think about the Indo-European expansion, but given that we know so little of the history, I don't see it as a subject for a Brit-like game, though it could work as a "sweep of history" game.

 

SF/Fantasy subjects always depend on there being a detailed history, which is quite rare. The exception is The Lord of the Rings, thanks to the extensive appendix. I am trying to work with a publisher to secure rights to make a Brit-like Third Age game, and have two possible boards and extensive notes, but have not played: there's no point without the license. I'm told that the Tolkien family has the rights toThe Silmarillion (they do not control LOTR rights), and license them to no one. Pity.

 

2. The combat system of Britannia is used in most Britannia-like games. What do you think about the amount of chance in the combat system?

                     Response Percent     Response Total

  It's OK

81%    34

  Too much chance, reduce the influence of luck

16.7% 7

  Not enough chance, increase the influence of luck

2.4%   1

  Other (please specify)

0%      0

Total Respondents   42

(skipped this question)       0

          

This result is to be expected, as the people most likely to complete the survey are those who especially like the games. I do have three combat methods in use in other Brit-like games that, in various ways, reduce the extent of chance. (I have been known to say “I hate dice games”.) One is completely diceless, another uses a combat table, the third uses dice. These methods have been discussed at length in the Eurobrit Yahoo Group.

*****

The rationale behind the use of forts in Britannia and Britannia Second Edition

Lew Pulsipher, October 05

 

I am going to try to explain the rationale behind the fort system used in Britannia, but please understand that nearly 25 years after I designed it, I have absolutely no recollection of why I did what I did; I am giving my best guess about why I did it!

 

I wanted to somehow indicate how well the Roman was doing at defending "civilization" from the predations of barbarians. Something had to represent success or failure in each area. I used the forts to represent all this, as well as to represent the general defense capability of the Romans. While the Romans could not be everywhere, they could move quickly from place to place, so the fort represents their ability to bring defenders to a particular location. The Romans did not actually build forts all over Britain, nor did they avoid building forts where Britons submitted to them. The fort is a simplification.

 

Hence, forts cannot be rebuilt, because destruction of a fort represents a general failure of the Romans to defend an area. Yes, in the real world, they could and perhaps would rebuild forts after retaking an area. But then we'd have no record that the area was ever ravaged by the barbarians. So I chose the simple method of leaving a destroyed fort in an area to mark the failure.

 

I cannot say why I did not choose to leave a destroyed fort marker there, yet let the Romans build another fort. One can guess that I was trying to keep the piece count down. Or maybe, because I was obviously dealing with an abstraction, I wasn't bothered that the fort could not be rebuilt.

 

Today, I use other methods. In a game that is "Britannia as it might be if designed in 2005", I have forts in every Roman area including the submitted areas. Still, in this smaller, simpler version, when the fort is destroyed, it represents the failure of the Romans to defend the area, they cannot rebuild it, and they get no Limes points for it.

 

In "MegaBrit", intended to be much bigger and longer than Brit, I have separate "Control Markers" to track the success or failure against the barbarians. Forts are built where the Roman chooses, with a limit (depending on the number of areas he holds) to how many can be built each turn (about 4 per turn on a board of nearly 60 areas including Ireland). Destroyed forts can be rebuilt. This is more complex, but more "realistic".

 

Perhaps in a future version of Brit I'll consider using this MegaBrit method; but I don't want to make Brit much more complex than it is now.

 

Britannia-like games currently available:

November 05

 

Britannia Second Edition: To be published December 2005 by FantasyFlightGames, $39.95.

 

Chariot Lords: $50 plus shipping, http://www.clashofarms.com/chariot-lords.html

 

The Dragon & the Pearl: 20 pounds sterling plus shipping, Spirit Games http://www.spiritgames.com/gamesin.php?UniqueNo=1969&PHPSESSID=d1660a416ecb34ec3563e765b40629a9 (This is the second edition)

 

Hegemonia: 35 euros plus 15.50 euros shipping outside Europe. http://www.city-of-games.de/CoGGoD/order%20games.htm

 

Hispania: $50 plus shipping http://www.bouldergames.com/detail.asp?Product_id=0266 (On sale for $39.80 as of 25 November 05)

 

Mediterranea: No cost, http://www.geocities.com/davidbofinger/darkness.htm.

 

I have just discovered, in a pamphlet I picked up at Origins this summer, that Decision Games lists two games of interest in their Pledge Program: Ancient Conquest and Barbarian, Kingdom, & Empire. Each has an "estimated" price of $52, "estimated" pledge price $39. The Pledge works like GMT's P500, if enough people pledge to buy the game, Excalibre (associated with Decision) will produce it. http://decisiongames.com/html/future_games.html

 

Finally we have the following description, submitted by the designer, Marco Broglia, of a game which will be published IF enough orders are received by the potential publisher (ugg.de) by the end of 2005 (this is often called "P-500" after the name GMT uses for this method). I understand this game is somewhat inspired by Brit, but I don't know how much it resembles Brit (it "works best with four players", but it has Event Cards). I asked Marco to write some design notes, but received no reply. About 50 more orders are needed. I have JPGs of some pieces and cards, which look quite professional. 31.20 Euros is the pre-order price.

 

"The History of the Roman Empire game covers the entire rise and fall of the Roman Empire in seven turns of play, starting with the first triumvirate of 60 B.C. composed of Caesar, Crassus and Pompey, and ending with the last emperor, Romulus Augustus, in 476 A.D. The map represents the entire Mediterranean area and part of Asia Minor. The players take the role of one of four Roman factions, bringing the command of their allied legions, and at the same time, taking control of barbarians and existing kingdoms. The History of the Roman Empire game works best with four players, but it is possible play it with three or two players, and no player is eliminate during the entire game. The History of Roman Empire game is not strictly “historical” but offers a great deal of the flavor of ancient Rome, with 42 Roman emperors or pretenders, 34 tribes and kingdoms, recreating the battles between legions, civil wars, and campaigns against the barbarians. The History of the Roman Empire game is especially fun in that the rules are quite simple, but every turn the players must make decisions about which emperor they will support, which barbarians players will control, and where to start new cities. Moreover the players try to preserve, as long possible, their legions and consequently the “Empire”, because the Roman factions are one of the major sources of victory points. Every turn the players will decide if they will spend Roman victory points for recruitment or fort construction, but only at the end of the game will they know if these points were well spent. Every game offers different situations depending on the player’s choices and strategies. The 45 event cards add unpredictable opportunities to the game. Each turn, players try to take and hold the richest lands. However, in the last turns, the barbarian tribes will make the difference: Goths, Vandals, Franks, Alans, and last but not last, the Huns. These tribes will spread out over the entire map. They are strong enough to take what they want, where they want, especially when used in conjunction with a combat card. Players must be vigilant, saving their legions if at all possible. At the end of the seventh turn, the players total their victory points and determine the winner. How will The History of the Roman Empire game end? Does a restored “Roman Empire” rise, or does it fall to the barbarians? Only the players can decide.

 

The game contains the following items:

 

. one 20 rules folder with tutorial

       (the rules are only 6 pages)

. one map

. one sheets of die-cut Counters

. five D6 (three white, two colored)

. one deck of 55 Event cards (one optional)

. one Emperor chart

. one People chart

 

For every information and eventually prenotations please contact:

www.ugg.de, the editorial site or

mauri-marco@libero.it  the game designer e-mail"

*****

A Proposal for a

Brit Variant

Lew Pulsipher, November '05

 

Some of you know that I designed many Diplomacy variants in the 70s and early 80s. A fairly common variant at that time was to change which nation a player controlled each game-year. I was thinking about that recently in connection with the objections of some players to the scripted nature of Brit-like games, and the following results:


 

The game has five "periods" each ending in a scoring occasion. During each period, players control one of four sides determined at random (there might be situations where a player is not allowed to control two particular groups in successive periods). So the player who controls the Romans won't necessarily control the Romano-British in the second period. Over the course of the game, a player could easily control almost every nation in the game at one time or another.

 

The drawback here is that each group should have about the same average score as each other group in a period. This means scoring needs to be manipulated, and sometimes the sides need to be manipulated, as Brit was never intended to give equal scores in each period to each color. And that means players will not be playing the standard colors, even in a four-player version.

 

In fact, I think the technique would work much better in a more free-flowing, less scripted game. But I've made a stab at Brit.

 

For example, the Roman score will need to be manipulated to be closer to the scores of the other groups in the first period, whether by halving it, by subtracting a number, or by some combination.

 

I have divided the nations into groups in the five periods. I don't have any statistics of scoring with me (I'm visiting relatives), so I'm just trying to get interesting groups that might not be too hard to balance. In no particular order with each period:

 

Turns 1-5 (Roman domination)

Romans

Angles, Scots, Irish, Belgae

Saxons, Brigantes, Caledonians

Welsh, Picts, Jutes

 

Turns 6-7 (British vs Germanic invaders)

R-Bs, Brigs, Belgae

Saxons, Irish, Caledonians

Angles, Scots

Welsh, Picts, Jutes

 

Turns 8-10 (Anglo-Saxon domination)

Angles Jutes

Saxons, Caledonians

Welsh, Picts

R-Bs, Irish, Brigs, Scots, Belgae

 

Turns 11-13 (The Vikings)

Angles, Norse, Picts

Sacons, Jutes, Brigs, Scots

Welsh, Dubliners, R-Bs

Danes, Irish, Caledonians

 

Turns 14-16 (The Kings)

Saxons, Angles, Jutes, Belgae, R-Bs, Brigs (Defenders of Briton, more or less)

Normans, Dubs, Scots, Irish

Harald, Norse, Picts

Danes, Welsh, Cals

(I'm especially not sure about Scots and Picts, perhaps they could be swapped)

 

 

There would inevitably be some chance in this game, if sides are assigned randomly each period. For example, if the Saxons have fared very badly early on, the player who gets the Saxons in the last period or two will suffer through (perhaps) no fault of his own. Nonetheless, this technique not only provides great variety, it avoids much of the "gaminess" that the historical script allows for in normal Brit.

 

Unfortunately, balancing this game would involve a lot of time and playtesters, neither of which I have, so I leave it at this.

*****

Some discussion from “Eurobrit”, compiled by Lew Pulsipher

 

Inexperienced Players

in Brit 1

November 05

 

I asked the following questions on the Eurobrit listserv (Yahoo Group). Here are some replies, which I have mixed in non-chronological order, and edited liberally (but remember that many of these folks speak English as a second language, hence some unusual constructions):

 

In Brit I, which color benefits most from the presence of inexperienced players in the game? Which benefits least? And which color is best for an inexperienced player to play?

 

Torben Mogensen replied:

"I would say this depends on which color is played by an inexperienced player. In a typical game, there will be more rivalry between Black/Green and Red and between Blue and Purple than across these, so it is mainly the other member of the pair where one color is played by a beginner that will benefit.

 

For example, if Purple is played by a beginner, Blue will benefit, as the Romans are unlikely to make much impact on Scotland and the Scots won't be as likely to settle in force. And if Black/Green is played by a beginner, Red is more likely to score well with the Irish and Saxons.

 

Worst is definitely Purple, as a bungled Roman invasion will skew the rest of the game.

 

Best is probably Black/Green, as they are mainly reactive in the first couple of turns. They would need to understand that Welsh survival of the Roman MI with a reasonable number of armies is more important than points (i.e., submission is not a last resort). Blue could be O.K. also, as apart from the Belgae revolt, they are also mainly reactive in the beginning."

 

 

Anders Egneus added:

"In my experience inexperienced players has two disadvantages:

- They don't know which battles to pick and thus tend to fight indiscriminately. Suffering extra losses causes lower growth and a negative spiral as the inexperienced player starts making risky attacks to catch up.

- They can't read the board/points towards a future perspective. Without experience it isn't possible to know the flow of play, which nations enter when at which strength and how this will affect future positions. So inexperienced players can't tell who's doing well and who isn't. So the advantage goes to whichever player is in the best position to exploit the weakness too much fighting causes. As Torben points out, this is foremost the opposite in the Purple/Blue and Red/Green pairs. In general I'd say Red is a little more favored since he is potentially in contact with everyone and his scoring comes later.

 

Blue benefits least. Blue needs a close, balanced game and suffers the most if attacked out of proportion to his position.

 

Given that the inexperienced player is going to lose anyway :), I'd say Red or Blue as those are nations involved in the game full time. Purple and Green need to be more passive/boring. I used to prefer Red for it's resilience, but one bad thing about Red is that you get all these armies, but you don't score enough while everyone else just zips ahead in points. This can be a frustrating experience. Magician's post on why Blue is a good nation [see below] makes sense - I'll try handing Blue to the newbie next time I play one. ( Of course, this means that Purple has the potential advantage and that Green and Red has to combine early to makes the Roman's life a bit more miserable than usual...)

 

Purple is worst. It's all about the Roman invasion AND proper Scottish play. Newbies = Scots land on T6 (or worse, attack Brigantes for raiding kill points in T5...)"

 

Joonas Iivonen contributed the following:

 

"In our gaming groups the first time player usually does very well. That is mainly because all other players give them good advice. And all the first timer has to do is to listen all the other players. This advice is usually more than just "Go there". They can be like "It would be wise to have some kind of defense to that direction as there will be that Danish MI next turn. MI means that...". People tend to be much more honest when talking to first timers. But of course they try to seduce other experienced players to hit common enemies here and there also where it wouldn't be wise and so on.

 

There is of course sometimes first timers who don't listen to this advice. Even when all other players and maybe a few bystanders say that the advice is ok. Most of the time these hard eared people lose and hardly try it another time.

 

I think that purple/romans is somewhat hard to play as first timer. You have to do much in the very early game when you have not seen how the play goes and maybe you are not familiar with the combat effects and so on. Other players may give you much advice but it is quite hard to understand how to process it and it is also demanding for them to give neutral advices. I think that other sides are better."


 

This comment from "magician_my_star" (whose real name I do not know) is the most eloquent of all:

 

Being a somewhat infrequent/ inexperienced player of Brit1, myself, on the rare occasion when I have participated in a four-person game, the somewhat arbitrary difference between 'experienced' and 'inexperienced' players has often been that of who has and who has not read the rules beforehand. That said, I'd like to take a shot at making a case for Blue, not Black/Green, being the best color for an inexperienced player to play in Brit1. My view is that handing over Blue to an inexperienced player provides the best balance between overall gameplay and increasing the learning curve of a new player.

 

I look at this from a AD&D perspective. In my first game as an 8 yr- old, on Halloween '79, my 40 yr-old DM gave me three-levels, an ordinary two-handed sword and a modified/randomized/toned-down Helm of Brilliance. Then he promoted me straight to the front lines, where my uncle and I kicked down doors and watched zombies, skeletons and all those mean and horrible things bear down on us, urged on by some shadowy bearded guy in the back who said he wanted to "grind [us] into hamburger and pound [us] into mincemeat." Next thing you know, I was hacking away, rolling dice and burning out gems in my helm. With wild swinging, wild helm action and one wild critical miss, I can proudly say that I killed at least three zombies, maybe four, before I knocked out my uncle and blinded our mage. I hacked away until the HPs went to zero, and I found myself temporarily promoted to the back row. In the end, we had a cleric and the dead things didn't. In short, the game was exciting. I had an impact. I was hooked.

 

If informed beforehand that the Belgae are going to go bye-bye no matter what, Blue eventually gives an inexperienced player a real chance to feel like he/she is impacting the game, rather feel as though he/she is sitting back and being picked on as the Black/Green player. What an experienced player finds challenging and rewarding, a new player will often find difficult and frustrating, if not flat out boring. The Blue player will, during the course of the game, have a chance to fumble around with boats, raiders, leaders and major invasions all while suffering the scourge of the same in equal measure. Most importantly, the Blue player has an active role in an endgame that might not be a foregone conclusion.

 

Giving a player the chance to be William the Conqueror and a chance to be King is like spotting a precocious 8 yr-old three levels, a two- handed sword, a Helm of Brilliance with a mind of its own and a 20- sided die that has the 1 inked just as clearly as the 20. In Brit1, without clerics around, not to mention druids, the Blue player probably won't have much of a chance to win, but unlike the Black/Green player, he/she will have a chance to have a more active role in the game and a lot of fun, without throwing the game completely out of balance the way a botched Roman invasion will.

 

 

 

To this I added: "That's a very well-described point of view. It also shows that my question can be taken two ways. One is 'what color do you give the inexperienced player to least screw up the game' and the other is 'what color do you give the inexperienced player to give him the most interesting first-time experience.'

 

I, too, think the answer to the first is green. But I am also convinced by your answer to the second question."

 

Charles Williams chipped in with:

"One danger in giving a new player BBG is that they win. If this happens the response may well be, "So what? I sat here and did nothing for five hours, and I won... " Experienced players should see to it that BBG gets an interesting game, and can frame a win/loss in some context other than, "I did nothing..."

 

Eloquence aside, I am not convinced that a complete newbie should be given blue. Perhaps a new player should progress through the colours in the following order BBG->blue->red->purple?"

 

*****

 

 

Listing of

Britannia-like Games

Lew Pulsipher, November 05

 

This is a simple listing of "Britannia-like" games, both published and being worked on, that I know of. It does not include games that may have been devised but not published in the past, which are, as far as I know, dormant. See Rick Heli's list, which includes those dormant games, at http://spotlightongames.com/list/b-style.html.

 

Roughly defined, Britannia-like games use many of the game mechanisms of Britannia, as well as the idea of multiple nations seeking varied point goals, controlled by one player.

 

Ancient Conquest (1975, Excalibre Games) originated the idea of multiple nations controlled by one player but seeking varied point goals, yet otherwise bears so little similarity to Britannia that I do not consider it "Britannia-like". I read the rules for AC once while watching a game played, then did not see it again until I bought a used copy in 2005.

 

Ancient Conquest II (1978, Excalibre Games). I have not seen this game.

 

Published:

Britannia (1986 H. P. Gibsons, UK; 1987 Avalon Hill, USA; late 1980s Welt der Spiele, Germany (German language))


britanniacover.jpg

 

Peninsula Italica (Camelot, 1993). I have heard that this is a poor game, but have not seen it. IIRC it covers Rome's rise rather than later Italian history. May be in Italian language.

 

Maharajah (1994, Avalon Hill; French version by Eurogames / Descartes).

 

Hispania (1994 Azure Wish, France). 640 pieces!

 

Chariot Lords (1999 Clash of Arms). This is about as far as I would go in defining "Britannia-like" chariotbx.jpg

 

Rus (2000, Desktop Published, Simulations Workshop)

 

The Dragon & The Pearl (2004, Spirit Games UK)

 

Hegemonia (Greece from Iliad to destruction of Corinth by Romans). Self-published 2004 (City-of-Games), rules presently in German only.

 

Mediterranea. "Published" on the Web, not for sale. URL: http://www.geocities.com/davidbofinger/darkness.htm

 

Of these only Hispania, Hegemonia, Dragon & the Pearl, and Chariot Lords can be purchased brand new, and Hispania's publisher appears to be defunct.

 

Forthcoming:

Britannia Second Edition, Fantasy Flight Games. December 2005.

 

ole.gif

 

Games being worked on, by geographic area:

Alexander's Successors: Lew Pulsipher, near to first playing

Britain: Torben Mogensen (Albion, appears to be complete?)

Britain and Ireland: Lew Pulsipher ("MegaBrit" and "Brit Lite", both in early beta playtesting; Megabrit is "8 hour Britannia" while BritLite is "Brit if it were designed today")

Byzantium: Simon Bullock

Byzantium: Lew Pulsipher (not even alpha)

China: Mandate of Heaven--this game is being played in a Yahoo Group of the same name. It is evidently very very large. http://groups.yahoo.com/group/MandateH (http://groups.yahoo.com/group/MandateH/)

Europe as a whole: Lew Pulsipher (Dark Ages (TM) , several versions, in early beta playtesting)

Fantasy: Torben Mogensen (Hy Breasil, appears to be complete?)

Iberia: Lew Pulsipher (Iberia (TM)), in alpha testing; much simpler and smaller than Hispania

Italy: David Bofinger (alpha test),

Italy: Lew Pulsipher (not even alpha)

Roman Empire: Lew Pulsipher

Romania: Torben Mogensen

Scotland: Lew Pulsipher (Caledonia (TM) in early beta playtesting)

Wales: Lew Pulsipher (Gwallia Cymru (TM) not yet alpha)

 

I have not listed variants of games, such as those designed by the "Black Prussian". A list of variants would be a nice addition to the magazine, if someone would care to put it together.

 

*****

 

 

 

 

Sweep of History

games list

Lew Pulsipher, November 05

 

This list is not exhaustive, and is especially likely to leave out less well-known games! Rough definition: a game that depicts a centuries-long, many-nationed "sweep of history" over a large geographic area, but that does not use most of the Britannia-like mechanisms. They are often simpler than Brit, especially in the victory conditions.

 

A good place to find out more about these games is www.boardgamegeek.com.

 

Barbarian, Kingdom, and Empire.

 

Decline and Fall. A very old game by Terence Donelly. East Roman empire, West Romans, and two barbarian players.

 

History of the World. Originally from Ragnar Brothers, UK. The latest Avalon Hill edition is the one with the nice plastic figures. It is, I understand, "dumbed down" from earlier versions, which I do not have. Suffers from "ganging up on leader" at game end.

 

Imperium Romanum II (http://boardgamegeek.com/game/1496/Imperium+Romanum+II), 1985. West End Games

 


Kampf um Rom. Two games using the same components, Germanica and Huns, Romans, and Germans,

about Rome and invading barbarians.

 

Kings & Castles. Medieval Britain, 3-4 players

 

Rise & Fall --perhaps a revision (by another person) of Barbarian, Kingdom, and Empire.

 

Seven Ages. Australian Design Group.

 

Vinci. I understand this game suffers from "ganging up on leader" at game end.

 

Many of these entries derive from Rick Heli's more-detailed list of Britannia-like games (his definition of Britannia-like is much broader than mine): http://spotlightongames.com/list/b-style.html

 

Please let me know of more games I should add to the list (or remove). sweep@pulsiphergames.com

*****

 

(I am including Torben's article last because formatting problems prevent me from using two columns. Torben is a computer scientist, as you might guess from his turn of mind in the article, who isn't an habitual user of Microsoft programs, and I had to convert from PDF or HTML. )


Probabilities for Britannia battles

Torben Mogensen
email:
torbenm@diku.dk

October 24, 2005

Abstract:

This article will analyse the probabilities of outcomes of battles in the game ``Britannia'' with different forces and terrain.

1 The combat rules

We first summarize the combat rules for Britannia:

Combat in an area lasts one or more combat rounds until there is only one nation in the area or the defending nation submits to the attacker. A combat round consists of the following phases:

 

The die roll phase

Here both sides roll one die per army, burh or fort in the area. Each die has a chance of killing an opponent, see below.

 

The defender retreat phase

If both nations still have forces in the area, any subset of the remaining defenders can retreat.

 

The attacker retreat phase

If both nations still have forces in the area, any subset of the remaining attackers can retreat.

 

If, at the end of a combat round, both nations still have forces in the area and the defender hasn't submitted, another combat round is initiated.

      A die is rolled for each army, burh or fort in the area. On each 5 or 6, one of the opponent's armies is removed. Losses are taken simultaneously on both sides, i.e., after both sides have rolled their dice.

Exceptions:

          When fighting in a difficult-terrain area, it takes a 6 to kill a defending army, burh or fort. Attackers are killed as normal.

 

          Cavalry and Romans kill other armies on 4, 5 or 6 in normal terrain. A 6 is required to kill a Roman or cavalry army regardless of terrain.

 

          A leader does not roll any dice, but increases the die roll of all friendly armies, burhs and forts in the area by 1. A 6 still counts as a 6.

 

So depending on circumstances, anything from a 3 to a 6 may be required to kill an opponent.

2 Probabilities for 1:1 battles

Let us start with the simplest possible battle: Two normal armies of different nations facing each other in non-difficult terrain with no leaders present. Each roll one die, so we can tabulate the results after one round by the following table:


Defender

Attacker roll

roll

1

2

3

4

5

6

1

1A+1D

1A+1D

1A+1D

1A+1D

1A

1A

2

1A+1D

1A+1D

1A+1D

1A+1D

1A

1A

3

1A+1D

1A+1D

1A+1D

1A+1D

1A

1A

4

1A+1D

1A+1D

1A+1D

1A+1D

1A

1A

5

1D

1D

1D

1D

none

none

6

1D

1D

1D

1D

none

none

 

where the entries in the table indicate the survivors so, for example, ``1A+1D'' means one attacker and one defender surviving. We can count the number of occurrences of each result and get:

 

1A+1D

16

1A

8

1D

8

none

4



The total is 36 (6 x 6), so we get 16/36 chance of getting the result 1A+1D, and so on.

So these give us the results for one round of combat. But what about the final results if no one retreats? It turns out we can just ignore the result that changes nothing (i.e., 1A+1D), as these get rerolled, and only look at the remaining outcomes. The new total is 20, so we get a probability of 8/20 for an end result of 1A or 1D and 4/20 for no survivors.

 

Since many rolls have the same outcome, we can simplify the table somewhat:

 

 

Defender

Attacker roll

roll

1-4

5-6

1-4

1A+1D

1A

5-6

1D

none

 

and just multiply each entry by the number of outcomes, i.e., 1A+1D has 4 x 4 = 16 possibilities, 1A or 1D has 4 x 2 = 8 and ``none'' has 2 x 2 = 4 outcomes. Furthermore, we can divide the number of occurrences of each result by the largest common factor, so we get

 

1A+1D

4

1A

2

1D

2

none

1

 

These simplifications make it easier to analyze the other cases. For example, a one-on-one battle in hilands give this table:

 

Defender

Attacker roll

roll

1-5

6

1-4

1A+1D

1A

5-6

1D

none



which translates to

 

1A+1D

10

1A

2

1D

5

none

1

 

after reducing by the largest common factor.

 

Again, we can ignore the 1A+1D row to get the probabilities for battles run to completion. In similar ways, we can get Roman army vs. normal army in non-difficult terrain (Roman is attacker):

 

1A+1D

5

1A

5

1D

1

none

1

 

and in difficult terrain:

1A+1D

25

1A

5

1D

5

none

1

 

I'll not go through the calculations for battles with leaders or attacks on Romans in difficult terrain, but leave these as an exercise for the reader.

 

3 Battles with multiple armies

If one or both sides in a battle have more than one army, things get a tad more complicated, in particular if there is a mixture of cavalry and normal armies (or Romans and forts) on one side. But we can use the same basic technique by setting up a table of outcomes. Here, for example is the table for 2:2 in non-difficult terrain:

 

Defender

Attacker roll

roll

1-4/1-4

1-4/5-6

5-6/1-4

5-6/5-6

1-4/1-4

2A+2D

2A+1D

2A+1D

2A

1-4/5-6

1A+2D

1A+1D

1A+1D

1A

5-6/1-4

1A+2D

1A+1D

1A+1D

1A

5-6/5-6

2D

1D

1D

none

 

where the ``/'' is used to separate the two dice that are rolled by a player. Note that, for example, 1-4/1-4 represents 4 x 4 = 16 outcome and 1-4/5-6 represents 4 x 2 = 8 outcomes, so the entry that is cross-indexed by these two represents a total of 16 x 8 = 128 outcomes. Counting all outcomes and dividing by the common factor (16) gives us:

 

2A+2D

16

2A+1D

16

1A+2D

16

1A+1D

16

2A

4

2D

4

1A

4

1D

4

none

1


The total is 81 ((64)/16). So one round of battle will have, for example, 16/81 chance of ending with one survivor on each side. If we assume no one retreats until a loss is taken, we can ingore the first row (2A+2D) to find the probabilities of the results after at least one loss is taken on either side (or both). The new total is 81-16 = 65 so, for example, the chance of ending with 1A+1D after the first loss is 16/65. If the battle is fought to completion (without any retreats), we must consider the further battle if we end with 1A+1D, 2A+1D or 1A+2D. We already have the numbers for 1A+1D, so we need to consider 2A+1D and 1A+2D. 2A+1D gives the table:

 

Defender

Attacker roll

roll

1-4/1-4

1-4/5-6

5-6/1-4

5-6/5-6

1-4

2A+1D

2A

2A

2A

5-6

1A+1D

1A

1A

1A

 

which summarizes to:

 

2A+1D

8

1A+1D

4

2A

10

1A

5

 

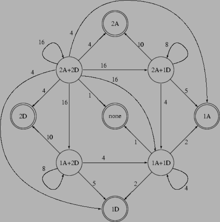
out of a total of 27 ((63)/8) outcomes. If we ignore the ``no effect'' result of 2A+1D, the total is 19. The 1A+2D case is symmetric (we just swap A and D), so we can combine the results into the diagram below. Double circles indicate ``final states'' (no more battles). The number on an arrow indicate the number of occurrences of going from the origin state to the destination state, including ``self-transitions''.

 

img1.gif  

 
We can use ths diagram for several different calculations. We have already seen how we can find the probabilities for a single round of battle by dividing the number on each outgoing transition by the total on all outgoing transitions, for example showing that the chance of all being killed in the first round of battle in a 2:2 fight is 1/81. Similarly, we can find the result of battling until the first loss(es) by dividing only by the total of the transitionsexcept
the self-transitions. This gives, for example, a chance of 1/65 for a 2:2 battle stopping at no survivors after the first loss.

We can also use the diagram to find the probabilities of each outcome when a battle is fought to completion with no retreats on either side. To do this, we first find the probability of each non-self transition by dividing the numbers on non-self transitions by the sum of numbers on the non-self transitions out of the same state (like we did above to find the results after first loss). So, for example, each number out of 2A+2D is divided by 65 and each number out of 2A+1D is divided by 19. Now find all paths (not using self-transitions) from the initial state to each final (double-circled) state, multiplying the probabilities on the trasitions of each path and adding all the products that lead to the same final state. As each non-self transition reduces the number of armies, all paths are finite and there are only a finite number of these.

Example

Starting from 2A+2D, we can get to 2A either directly with probability 4/65 or through 2A+1D with probability 16/65 x 10/19 for a total probability of 4/65 + 16/65 x 10/19 = 236/1235. Due to symmetry, this is the same as the probability of ending in 2D.

 

Again from 2A+2D, we can get to 1A either directly with probability 4/65, trough 2A+1D with probability 16/65 x 5/19, through 1A+1D with probability 16/65 x 2/5 or through either 1A+2D or 2A+1 and then 1A+1D each with probability 16/65 x 4/19 x 2/5. This adds up to 4/65+16/65 x 5/19+16/65 x 2/5+2 x 16/65 x 4/19 x 2/5 = 1644/6175. 1D is symmetric, so it has the same probability.

 

From 2A+2D, we can get to ``none'' directly at probability 1/65, through 1A+1D with probability 16/65 x 1/5 or through either 1A+2D or 2A+1D and then 1A+1D each with probability 16/65 x 4/19 x 1/5. This adds up to 1/65+16/65 x 1/5+2 x 16/65 x 4/19 x 1/5 = 527/6157.

 

So we get the following table of final states and probabilities:


2A

1180/6175

2D

1180/6175

1A

1644/6175

1D

1644/6175

none

527/6157


Converting to percentages, we get:

 

2A

19.11%

2D

19.11%

1A

26.62%

1D

26.62%

none

 8.53%



By starting at 2A+1D, 1A+2D or 1A+1D we can get probabilities for battles at these odds as well. If we need larger number of armies, difficult terrain, leaders or Romans/cavalry, we need to make new diagrams like the above. This is not terribly complicated, just a lot of work (and error-prone). Hence, it makes sense to make a program to do the calculations.

4 Making a program

The purpose of the program is, given the number of attackers and defenders in a battle, to determine the probability of each possible final result should the battle be fought to completion.

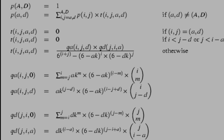
To do this we will set up a diagram similar to the above and calculate a probability for each node. The probability for the starting node is 1 and for the remaining nodes the probability is found as the sum of the probabilities of each possible predecessor, each multiplied by the probability of the transition from the predecessor to the node in question.

 

Given that the battle started with A attackers and D defenders, we can write the following equations for the probability og getting to a attackers and d defenders during the battle:


 

img2.gif

 

The first equation just says that the initial state is certain. The second adds up the probabilities of predecessors as described above.t(i,j,a,d) is the probability of getting from (i,j) to (a,d). The first rule for this excludes self-transitions. The second excludes transitions where there are not enough attackers to kill as many defenders as the transition indicates or vice-versa. The third rule has the ``meat'' of the calculation. It calculates how many rolls can get you from (i,j) to (a,d) and then divides this by the total number of rolls excluding the number of rolls that don't kill anything. q(i,j,d) calculates how many ways i armies can reduce j opponents to d. There is a special case for d=0 to handle ``overkills'', i.e., having more kills on the i dice than required to reduce j to 0.

 

img3.gif  is the number of ways you can pick m out of n items, and can be calculated as n!/m!/(n-m)!, where n! is the factorial of n.

 

The probabilities above are calculated using the standard rule of kills on 5-6, so 2 out of 6 are kills and 4 out of 6 aren't. Hence, the use of 2 and 4 in the formula. If ak out of 6 kills for the attacker and dk out of 6 kills for the defender, we can use the generalized equations below. q has been split into qa and qd, as they must use different probabilities for kills for attacker and defender.

 

img4.gif

 

 

We can code the equations fairly directly in the programming language Haskell (see http://www.haskell.org). I use the Hugs implementation of Haskell, as it is portable and easy to use.

 

-- brit2dice.hs

-- Haskell program for calculating proabilities of Britannia battles

 

-- ak = number of values (out of 6) that the attacker kills on (normally 2)

-- dk = number of values (out of 6) that the defender kills on (normally 2)

-- aa = original number of attackers

-- dd = original number of defenders

-- a = final number of attackers

-- d = final number of defenders

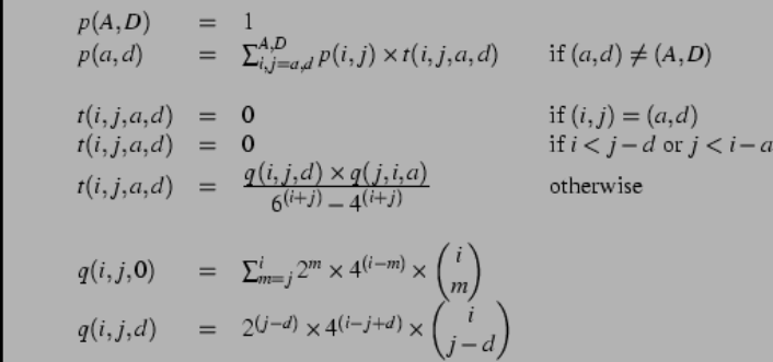
p0(ak,dk,aa,dd,a,d) = p(a,d) where
p(a,d) | (a,d)==(aa,dd) = 1
p(a,d) = sum [p(i,j)*t(i,j,a,d)
| i<-[a..aa], j <-[d..dd], (i,j)/=(a,d)]
t(i,j,a,d) | i<j-d || j<i-a = 0
t(i,j,a,d) = qa(i,j,d) * qd(j,i,a) / (6^(i+j) - (6-ak)^i * (6-dk)^j)
qa(i,j,0) = sum [ak^m * (6-ak)^(i-m) * k(i,m) | m<-[j..i]]
qa(i,j,d) = ak^(j-d) * (6-ak)^(i-j+d) * k(i,j-d)
qd(j,i,0) = sum [dk^m * (6-dk)^(j-m) * k(j,m) | m<-[i..j]]
qd(j,i,a) = dk^(i-a) * (6-dk)^(j-i+a) * k(j,i-a)
k(n,m) = fromInt(product [n-m+1..n] `div` product [1..m])

aa and dd are used instead of A and D, as variables can't start with capital letters. To calculate the probability of reaching a attackers and d defenders when starting from aa attackers and dd defenders when the attackers kill on ak different numbers and the defenders kill on dkdifferent numbers, you just call p0(ak,dk,aa,dd,a,d).

 

The program isn't very efficient, as it will recalculate p for the same values several times, so you must be patient when aa+ddis greater than 10, though. You can speed up the calculation by avoiding recomputation. This is done by storing the values of p(a,d) in a data structure and look up in this instead of recomputing. We can do this by rewriting the equations for p(a,d) as follows:

 

 p(a,d) | (a,d)==(aa,dd) = 1
p(a,d) = sum [(pp!!i!!j)*t(i,j,a,d)
| i<-[a..aa], j <-[d..dd], (i,j)/=(a,d)]
pp = [[p(a,d)|d<-[0..dd]]|a<-[0..aa]]

The other equations are unchanged. Note that the recursive call to p has been replaced by the lookup (pp!!i!!j). Now you can compute for all realistic battle sizes in reasonable time.

 

5 A few sample cases

For those of you too lazy to run the above program yourself, I have computed the results of a few common battles. The 1:1 cases were covered in the beginning, so these involve multiple armies.

 

3A vs. 2D in normal terrain:

 

3A

26.6%

2A

36.3%

1A

18.8%

none

3.7%

1D

9.8%

2D

4.9%

 

4A vs. 2D in normal terrain:

 

4A

31.7%

3A

40.4%

2A

18.8%

1A

5.0%

none

0.9%

1D

2.2%

2D

0.9%

 

2A vs. 1D in difficult terrain:

 

2A

37.9%

1A

29.7%

none

5.4%

1D

26.9%

 

3A vs. 2D in difficult terrain:

 

3A

13.9%

2A

22.5%

1A

15.2%

none

3.7%

1D

23.0%

2D

21.6%

 

4A vs. 2D in difficult terrain:

 

4A

18.6%

3A

29.2%

2A

20.0%

1A

9.2%

none

2.1%

1D

12.1%

2D

8.9%


1Roman vs. 2D in normal terrain:

 

1R

38.0%

none

7.6%

1D

31.0%

2D

23.4%

 

6 Conclusion

The general method for calculating probabilities extend also to battles with mixed armies (e.g., with forts or cavalry), but you need to keep track of the numbers of each type of army and the different dice these use, so it is a bit more work. The program can also be extended to handle these cases, but it will add considerably to its complexity.

 

An alternative to calculating exact probabilities like shown above is to simulate a large number of battles and count the occurrences. This is often simpler to program and if you run a sufficiently large number of battles (a few million should do), you can get results that are fairly close to the exact probabilities. This isn't useful for calculation by hand, though.

 



 

 

 

 

 

 

The END

 

I meant to review some historical atlases, but I've run out of steam.

 

Remember, the "unofficial center of the universe" for discussions by fans of Brit-like games is the Eurobrit listserv on Yahoo Groups.

 

And a personal plug: if you want to playtest future games by Lew Pulsipher, consider joining the PulsipherPlaytesting Group: http://games.groups.yahoo.com/group/PulsipherPlaytesting/

 

 

Those niggling questions:

 

"What are those blasted "(TM)" things for?" Well, you can secure trademark by simply claiming trademark, via the (TM). If you register a trademark, not common in the game industry perhaps because it costs around $350, then you use an R in a circle.

 

"Why no art?" Because I'm not an artist; and because, being middle-aged, I'm not into graphics as much as a lot of people are these days. Finally, even a few graphics have made this issue quite a large download, something I'd hoped to avoid for the sake of the many people who still use modems to access the Internet.

 

"Why no logo?" It would be nice if some artistic type designed a simple logo for the magazine.

 

"Why the odd font?" While the "home" format for this magazine is PDF, it will likely be read on a computer screen quite often as opposed to being printed. Comic Sans is a compromise, an attractive sans serif font rather than dull-and-boring serifed Times Roman. And anyway, *I like it*. I use 11 point, which is decent sized but takes less space than 12 point.

 

"Who is Lew Pulsipher?" Check http://pulsiphergames.com.

 

"Where do I send my contributions?" Send all correspondence to sweep@pulsiphergames.com. Or to another address of mine, if you happen to have one.

 

Don't forget the feedback survey! http://surveymonkey.com/s.asp?u=815091553200

 

11/28/2005